Actualidad

Sernac alerta por falla en automóviles Hyundai

www.hyundai.es
www.hyundai.es

El Servicio Nacional del Consumidor (Sernac) emitió un comunicado de prensa donde alerta sobre una falla en el portaequipaje de los vehículos Hyundai.

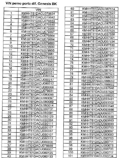
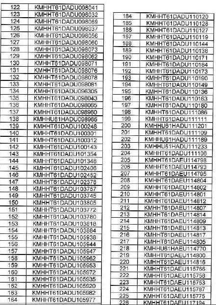
Los modelos afectados pertenecerían a la línea Genesis y fueron comercializados entre 2011 a 2015, un error que se registraría en unos 250 vehículos.

Lee también: Prisión preventiva para chofer de ambulancia que habría abusado de niño en Iquique

“Uno o más de los tres pernos de montaje que sujetan el diferencial trasero, podrían no haberse apretado correctamente durante el armado del vehículo debido a que el travesaño de la suspensión trasera y el diferencial no estaban correctamente alineados”, explican desde el servicio público.

De momento, según informa Sernac, no se han denunciado accidentes por esta falla o algún tipo de incidente similar.

genesis3 genesis2 genesis1